SMU Physics 1307
Spring 2011
Instructor: Will McElgin [mcelgin@physics.smu.edu]
Homework Solutions
- HW1 :
2.53
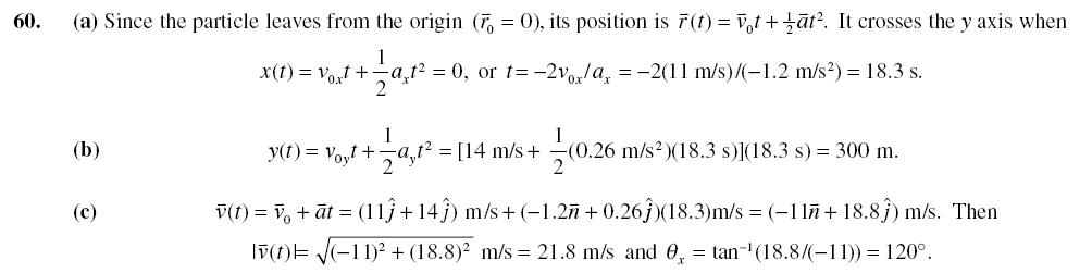
2.60
2.74
2.78
3.60
3.66
3.72
3.73
3.79
- HW2 :
4.47
4.51
4.54
4.60
4.64
4.65
5.36
5.37
5.45
5.52
5.58
5.69
- HW3 :
6.50
6.55
6.66
6.81
7.29
7.30
7.35
7.46
- HW4 :
7.48
7.56
7.57
7.62
8.40
8.49
8.57
8.61
- HW5 :
9.41
9.50
9.69
10.57
10.66
10.68
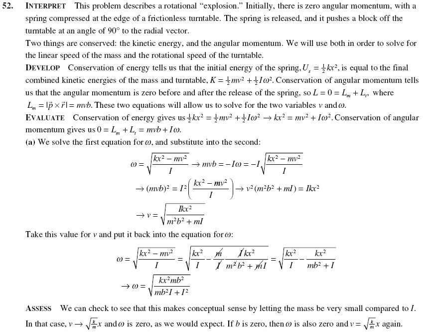
11.47
11.51
11.52
12.29
12.40
12.66
- HW6 :
15.45
15.48
15.52
15.54
Exam Solutions
University Policies
Disability Accommodations: Students needing academic accommodations
for a disability must first contact Ms. Rebecca Marin, Coordinator,
Services for Students with Disabilities (214-768-4557) to verify the
disability and establish eligibility for accommodations. They should
then schedule an appointment with the professor to make appropriate
arrangements. (See University Policy No. 2.4.)
Religious Observance: Religiously observant students wishing to be
absent on holidays that require missing class should notify their
professors in writing at the beginning of the semester, and should
discuss with them, in advance, acceptable ways of making up any work
missed because of the absence. (See University Policy No. 1.9.)
Excused Absences for University Extracurricular Activities: Students
participating in an officially sanctioned, scheduled University
extracurricular activity should be given the opportunity to make up
class assignments or other graded assignments missed as a result of
their participation. It is the responsibility of the student to make
arrangements with the instructor prior to any missed scheduled
examination or other missed assignment for making up the work.
(University Undergraduate Catalogue)