SMU Physics 1308

Fall 2009


  Instructor: Will McElgin [mcelgin@physics.smu.edu]

  Syllabus

  Grading Graph

  Homework Solutions

  Exam Solutions

University Policies

Disability Accommodations: Students needing academic accommodations for a disability must first contact Ms. Rebecca Marin, Coordinator, Services for Students with Disabilities (214-768-4557) to verify the disability and establish eligibility for accommodations. They should then schedule an appointment with the professor to make appropriate arrangements. (See University Policy No. 2.4.)

Religious Observance: Religiously observant students wishing to be absent on holidays that require missing class should notify their professors in writing at the beginning of the semester, and should discuss with them, in advance, acceptable ways of making up any work missed because of the absence. (See University Policy No. 1.9.)

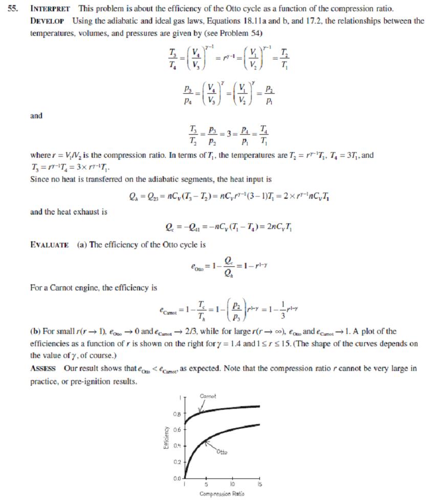
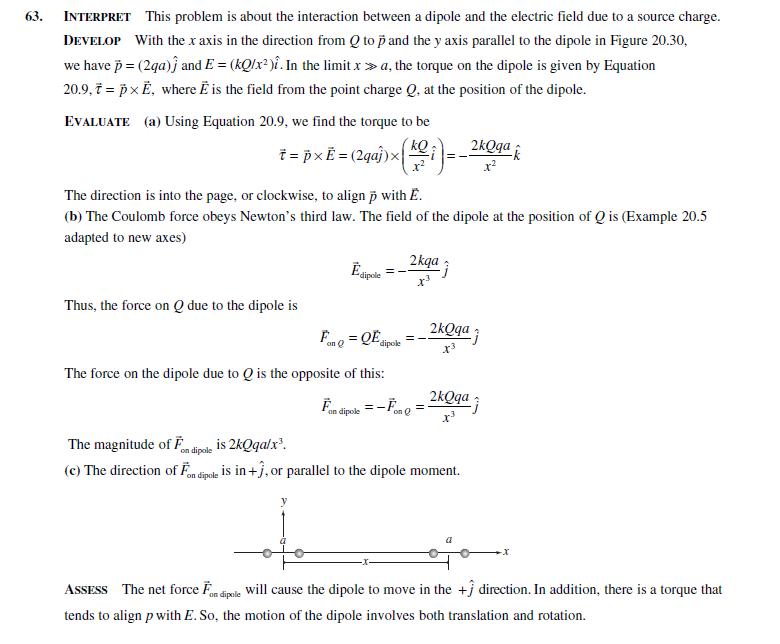
Excused Absences for University Extracurricular Activities: Students participating in an officially sanctioned, scheduled University extracurricular activity should be given the opportunity to make up class assignments or other graded assignments missed as a result of their participation. It is the responsibility of the student to make arrangements with the instructor prior to any missed scheduled examination or other missed assignment for making up the work. (University Undergraduate Catalogue)